Для изображения комплексного числа на плоскости необходимо построить точку с координатами (x; y), где x и y соответственно равны действительной и мнимой частям
заданного комплексного числа. Плоскость, на которой изображаются комплексные числа, называется комплексной плоскостью. Ось Ox называется действительной осью ,а ось Oy
— мнимой осью.
Пример 1. Изобразить на комплексной плоскости числа z1 = 1 — 3i, z2 = 4 + i, z3 = 5, найти их модули и аргументы.
Согласно теоретической сноске выше, имеем, что числу z1 = 1 — 3i соответствует точка с координатами (1; -3), z2 = 4 + i — точка (4; 1), а комплексному числу z3 = 5 соответствует точка с координатами (5; 0).

Комплексные числа можно отобразить просто точками, а можно сделать по-другому, как в данном примере, изобразить радиус-вектором точки с началом в точке О.
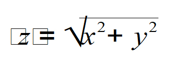
Длина этого вектора называется модулем числа z и обозначается |z|. По определению, модуль комплексного числа:

где x и y соответственно действительная и мнимая части комплексного числа.
Найдем модули и аргументы для каждого заданного числа (см. рисунок)
Ответ:

Пример 2. Найти и построить на комплексной плоскости области, которым принадлежат точки z = x + iy, удовлетворяющие условию 2 ≤ Re(z + 1) ≤ 4.
Преобразуем заданное неравенство: 2 ≤ Re(x + 1 + iy) ≤ 4.
Поскольку выражение Re (x + 1 + iy) определяет действительную часть числа, записанного в скобках, то можно перейти к следующему неравенству: 2 ≤ x + 1 ≤ 4. Или: 1 ≤ x ≤ 3.
Таким образом, условие 2 ≤ Re(z + 1) ≤ 4 определяет на комплексной плоскости область, множество точек (x; y) которой, удовлетворяют системе:
